Предмет: Алгебра,
автор: ttttttttt48
срочно, помогите!
ответ должен получиться "-3"
с решением!
спасибо)
Приложения:
Ответы
Автор ответа:
0
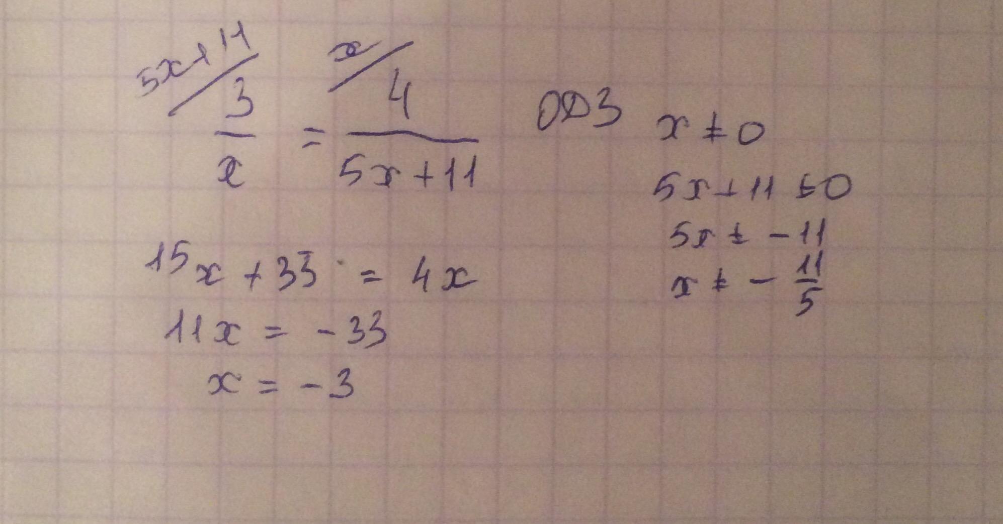
Ответ: -3
Объяснение: можно подставить предложенные варианты в оба уравнения.
А я предлагаю приравнять оба уравнения и решив получившееся уравнение найти чему равен х
Приложения:
Похожие вопросы
Предмет: Другие предметы,
автор: kuhtadasa0
Предмет: Математика,
автор: mishchuk2011karina
Предмет: Немецкий язык,
автор: Аноним
Предмет: Математика,
автор: shaposhnikova02
Предмет: География,
автор: cerasusplay