Предмет: Математика,
автор: kostyanyuk4343
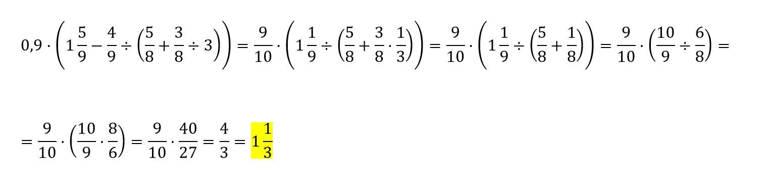
0,9×( 1 5/9 - 4/9:(5/8+3/8:3))
помогите решить
Ответы
Автор ответа:
2
Решение в приложении
Приложения:
Похожие вопросы
Предмет: Английский язык,
автор: korzikd22
Предмет: Химия,
автор: voznyakegor2708
Предмет: Математика,
автор: vladislavadjassybaev
Предмет: Математика,
автор: Отличница2535646377
Предмет: Математика,
автор: Максимельян11