Предмет: Алгебра,
автор: te6egg
помогите пожалуйста кому не лень,я не могу решить,у меня не получается,спасибо если помог
Приложения:
Ответы
Автор ответа:
0
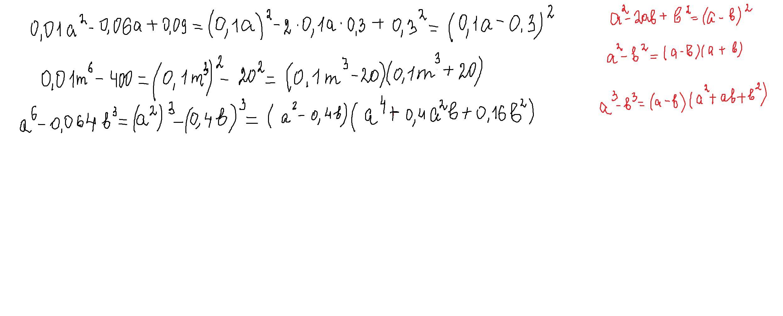
Ответ:
Объяснение:
решение внизу,формулы-красным цветом
Приложения:
Похожие вопросы
Предмет: Математика,
автор: lalaoool
Предмет: Физика,
автор: nastaynikitina2007
Предмет: Қазақ тiлi,
автор: tm986045
Предмет: Химия,
автор: Anna190111
Предмет: Алгебра,
автор: Ержанов01