Предмет: Алгебра,
автор: dmitrievasofia2007
пожалуйста решите . Очень срочно буду благодарна
Приложения:
Ответы
Автор ответа:
0
Ответ:
x(1,2)=+-(8/5)
Объяснение:
|x|=8/5
1) -бесконечность<x<0
x=-8/5
2)0=>x>бесконечность
x=8/5
Автор ответа:
1
Ответ:
Объяснение:
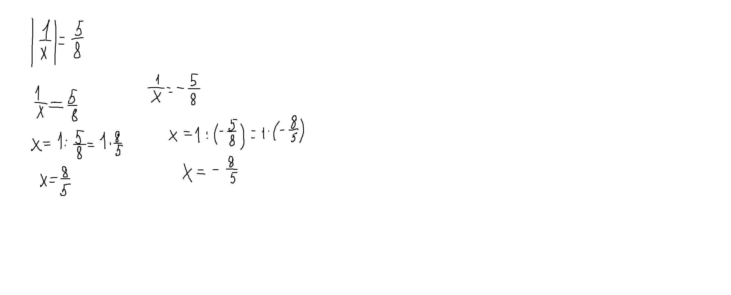
решение внизу
Приложения:
Похожие вопросы
Предмет: Литература,
автор: nikita228090909229
Предмет: Українська мова,
автор: uliabilousova75
Предмет: Другие предметы,
автор: nxndjdhdhdh
Предмет: Алгебра,
автор: EASY16
Предмет: Информатика,
автор: Dafiks