Предмет: Геометрия,
автор: mrflash235793442
Дам 100 баллов, пожалуйста, помогите!
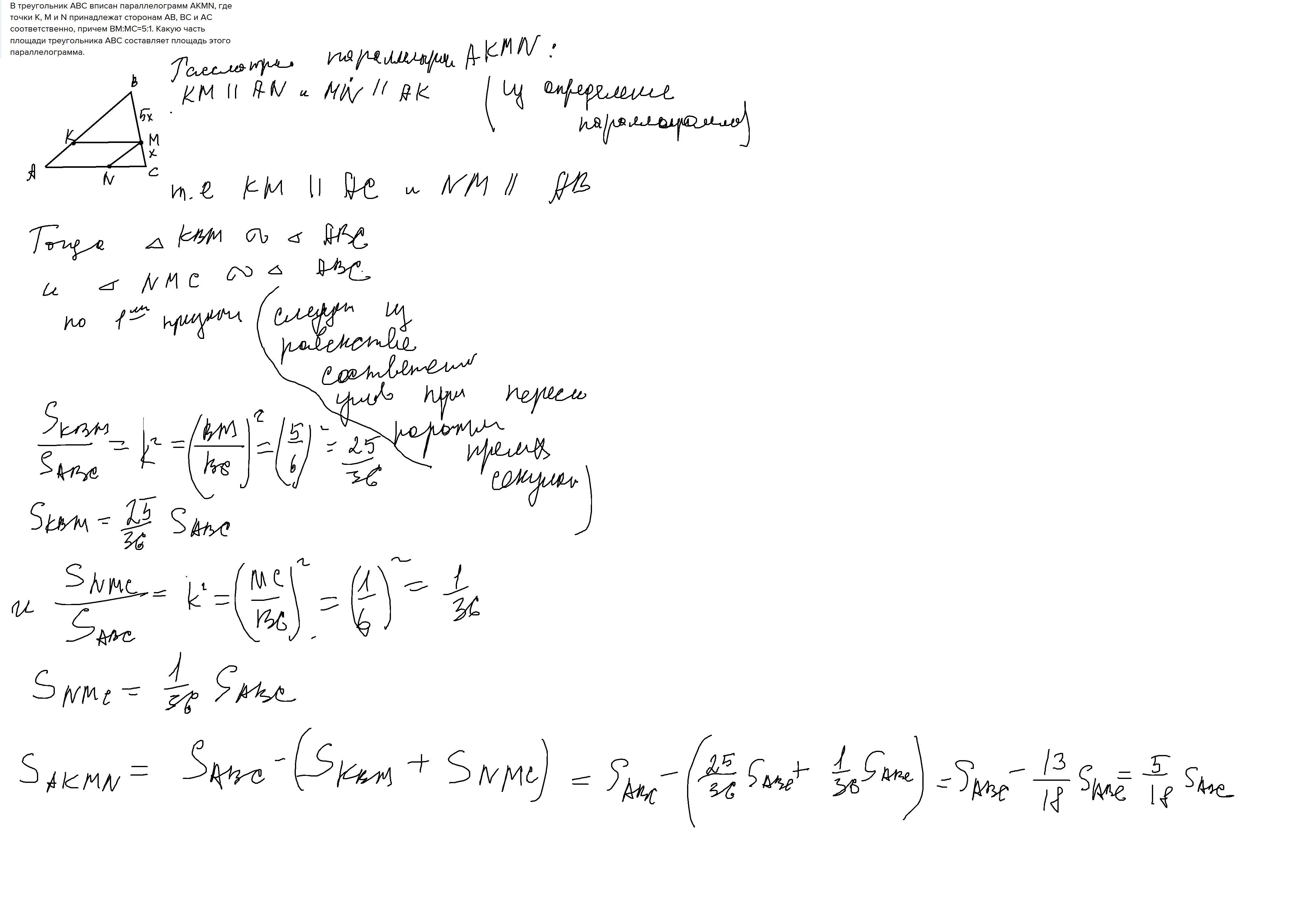
В треугольник АВС вписан параллелограмм АКМN, где точки К, М и N принадлежат сторонам АВ, ВС и АС соответственно, причем ВМ:МС=5:1. Какую часть площади треугольника АВС составляет площадь этого параллелограмма.
Заранее, спасибо)
Ответы
Автор ответа:
2
Ответ:
Объяснение: Какую часть площади треугольника АВС составляет площадь этого параллелограмма.
Приложения:
Похожие вопросы
Предмет: Литература,
автор: kitarovtimur885
Предмет: Математика,
автор: Аноним
Предмет: Математика,
автор: karolina9123
Предмет: Физика,
автор: margo0309
Предмет: Математика,
автор: вика2875