Предмет: Алгебра,
автор: 20suspect03
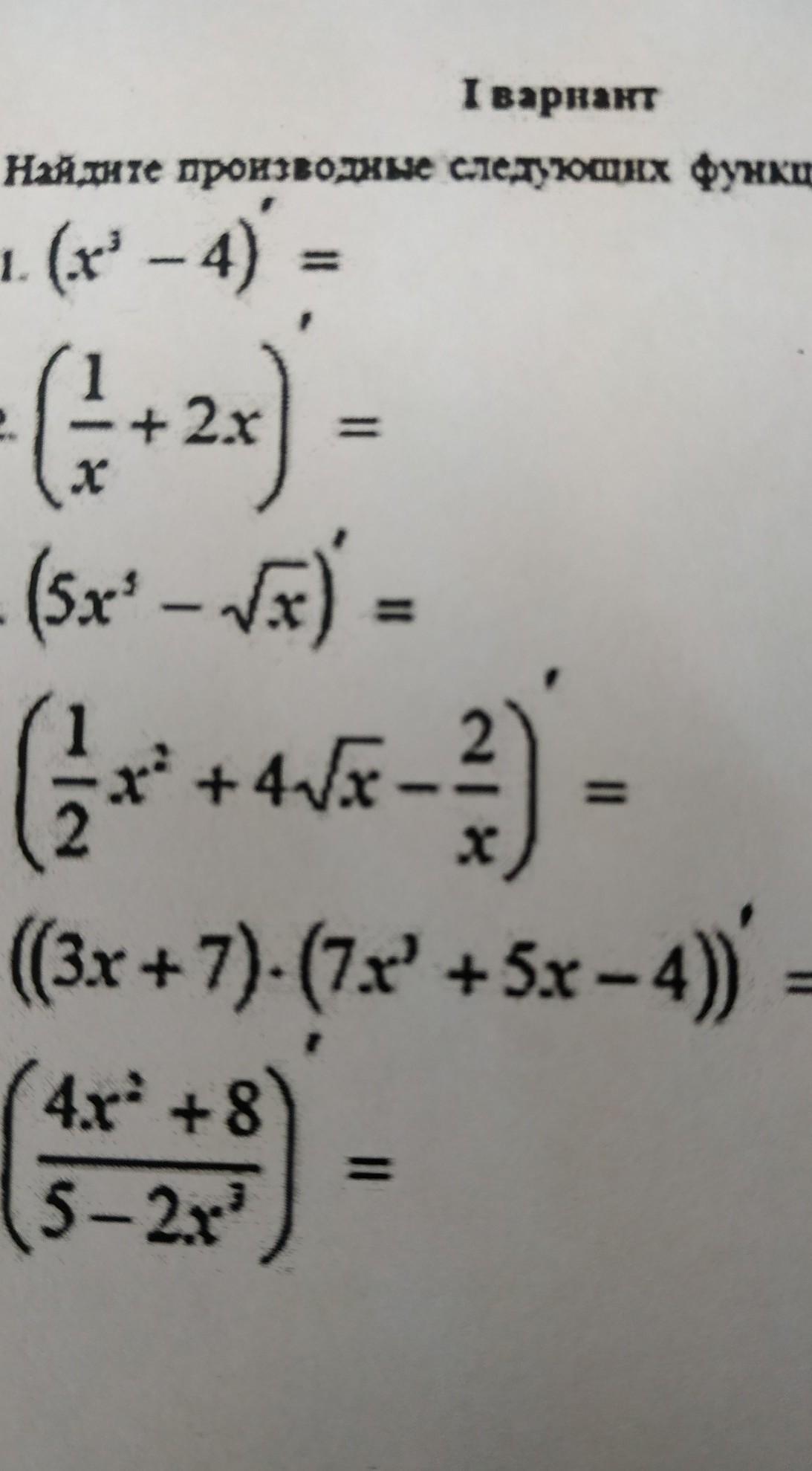
Найдите производные функций
50 баллов
Приложения:
Ответы
Автор ответа:
1
Ответ:
x^n = x^(n-1). "^" - в степени
(U * V)' = U'*V+U*V'
(U / V)' = (U'*V-U*V')/V^2
Приложения:
Похожие вопросы
Предмет: Математика,
автор: ulashan231281
Предмет: Физика,
автор: pdo02063
Предмет: Алгебра,
автор: juliania1119
Предмет: История,
автор: lydadi
Предмет: Алгебра,
автор: esvadkovskaya