Предмет: Физика,
автор: mob0072
1)Точка совершает гармонические колебания. В некоторый момент времени смещение точки x= 5 см, её скорость 20 см/с, ускорение a= 80 м/с^2. Найти амплитуду, циклическую частоту, период колебаний и фазу колебаний в рассматриваемый момент времени.
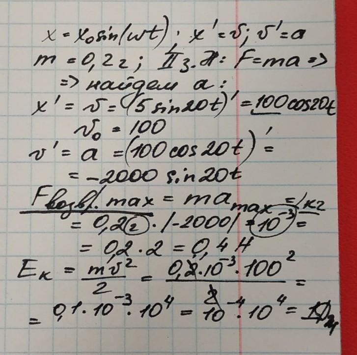
2)Материальная точка массой m= 0,2г совершает гармонические колебания, уравнение которых имеет вид: x= 5sin 20t см. Определить максимальные значения возвращающей силы и кинетической энергии точки.
Помогите, пожалуйста с решением.
Первую задачу решил
Ответы
Автор ответа:
1
Ответ:
на вторую задачу, как и просил: 0,4 Н; 1 Дж
Объяснение:
прикрепила картинку с решением
Приложения:
Похожие вопросы
Предмет: Қазақ тiлi,
автор: Mama0100
Предмет: Алгебра,
автор: goncaririnka225
Предмет: История,
автор: kamilovagulmira79
Предмет: Литература,
автор: лукавеликий
Предмет: Литература,
автор: baysa1