Предмет: Алгебра,
автор: jeren04
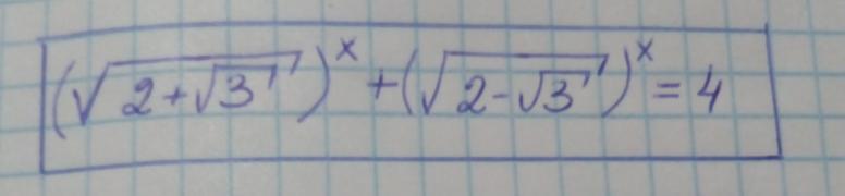
Найдите х в уравнение с объеснением пожалуйста
Приложения:
Ответы
Автор ответа:
1
Ответ: во вложении Объяснение:
Приложения:
Похожие вопросы
Предмет: Геометрия,
автор: yvberezhna
Предмет: Математика,
автор: Glebfiliakin
Предмет: Английский язык,
автор: sulejmancinara
Предмет: Математика,
автор: Alikseychik
Предмет: Математика,
автор: danyagoryakin