Предмет: Геометрия,
автор: Аноним
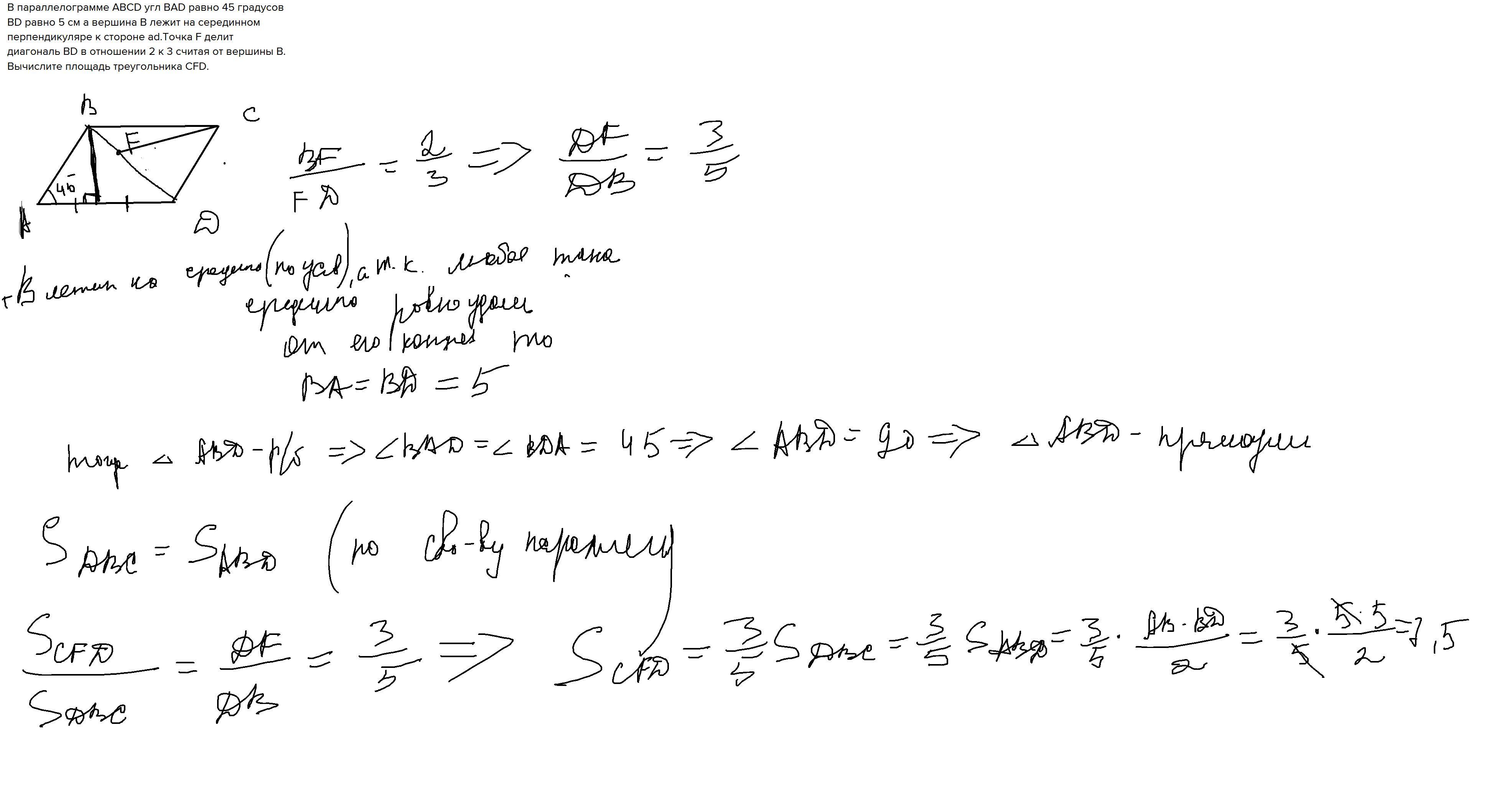
в параллелограмме ABCD угл BAD равно 45 градусов BD равно 5 см а вершина B лежит на серединном перпендикуляре к стороне ad.Точка F делит диагональ BD в отношении 2 к 3 считая от вершины B. Вычислите площадь треугольника CFD.
Ответы
Автор ответа:
1
Ответ:
Объяснение:в параллелограмме ABCD угл BAD равно 45 градусов BD
Приложения:
Похожие вопросы
Предмет: Математика,
автор: Bella4Black
Предмет: Английский язык,
автор: Anettttka
Предмет: Математика,
автор: Аноним
Предмет: Химия,
автор: dirusya04