Предмет: Алгебра,
автор: makdonalds58
Помогите решить вот это уравнение 0,3(6-2у)=4,5-0,7(у+9) распишите пожалуйста на листочке. Меня учили так где нужно сначала раскрыть скобки и и у отдельно цифры отдельно. Обычно сначала идут у а потом цифры кто поможет поставлю ваш пример лучше или помогу решить ваш пример
Ответы
Автор ответа:
0
Ответ:
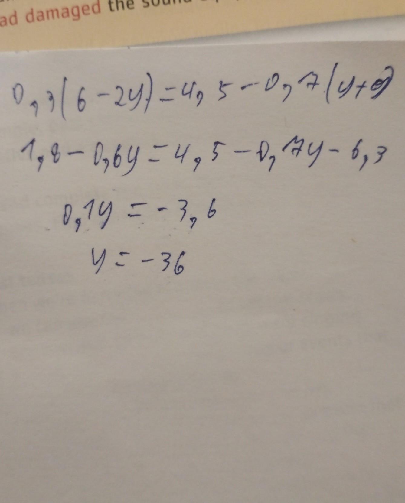
вот.....................
Приложения:
Автор ответа:
0
Ответ:
-36
Объяснение:
0,3(6-2y)=4,5-0,7(y+9)=
1,8-0,6y=4,5-0,7y-6,3
1,8-0,6y= -0,7y-1,8
-0,6y+0,7y= -1,8-1,8
0,1y= -3,6
y= - 3,6 : 0,1
y= -36
вроде так, если я не ошиблась нигде
makdonalds58:
А почему -36 получилось то. Я поняла где я сделала ошибку. Вы оказались правы! Но почему-36
Похожие вопросы
Предмет: Математика,
автор: Аноним
Предмет: Українська мова,
автор: masha1504ik828208
Предмет: Математика,
автор: spotlightkiler52
Предмет: Математика,
автор: mariannadorokh
Предмет: Биология,
автор: lera20032912