Предмет: Алгебра,
автор: uganda18
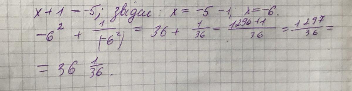
Відомо, що x+ 1= -5
Обчислити x^2 + 1/x^2
Ответы
Автор ответа:
1
Ответ:
1297/36
Объяснение:
х+1=-5
х²+1/х²=?
х+1=-5 → х=-6
х²+1/х²=-6²+1/-6²=36+1/36=(1296+1)/36=1297/36
Автор ответа:
0
Відповідь на фото ..........
Приложения:
Похожие вопросы
Предмет: Українська мова,
автор: aleksandrabir244
Предмет: Экономика,
автор: yayahahahh409
Предмет: Английский язык,
автор: alinashestakova99o
Предмет: География,
автор: кари50