Предмет: Информатика, автор: leonecor7

#1
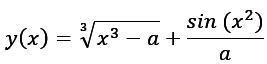
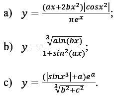
Переведите математическую формулу на язык Паскаль.
#2
Составить программу вычисления функции у(х); значения переменных задайте самостоятельно с помощью оператора ввода.
В отчет включить текст программы, реакцию ЭВМ.

Приложения:

Ответы

Автор ответа: BobbyFresnel
13

===== PascalABC.NET =====

#1

y := (a * x + 2 * b * x * x) * Abs(Cos(x * x)) / (Pi * Exp(x));

y := (a * Ln(b * x)) ** (1 / 3) / (1 + Sqr(Sin(a * x)));

y := (Abs(Sin(x ** 3)) + a) * Exp(a) / (b * b + c * c) ** (1 / 3);

#2

begin

 var (a, x) := ReadReal2('Введите a и x:');

 var t := x ** 3 - a;

 t := Sign(t) * Abs(t) ** (1 / 3);

 var y := t + Sin(x * x) / a;

 Print('y =', y)

end.

Операция возведения в степень ** в PascalABC.NET определена только для неотрицательного аргумента, поскольку она выполняется с использованием логарифма. В то же время, в математике операция извлечения корней нечетной степени для отрицательного аргумента опеределена и допустима. В соответствии с этим, извлечение кубического корня в программе производится из абсолютной величины аргумента и последующим присваиванием знака этого аргумента результату. Если имеется потребность вычислять подобные корни в нескольких местах программы, имеет смысл ввести для этого собственную функцию.

Приложения:
Похожие вопросы