Предмет: Математика,
автор: dmitry39
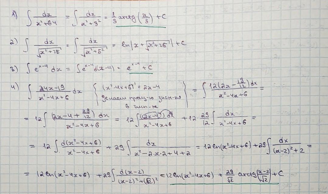
Даю 50 баллов за решение интеграллов
Приложения:
Ответы
Автор ответа:
1
Ответ:
решение на фотографиях
Приложения:
Похожие вопросы
Предмет: Биология,
автор: tanafedorova037
Предмет: Английский язык,
автор: kudaiberdiev07
Предмет: Русский язык,
автор: Lider2112
Предмет: Литература,
автор: kiramillerthe1
Предмет: Математика,
автор: МирДухов