Предмет: Математика,
автор: klarkkent561
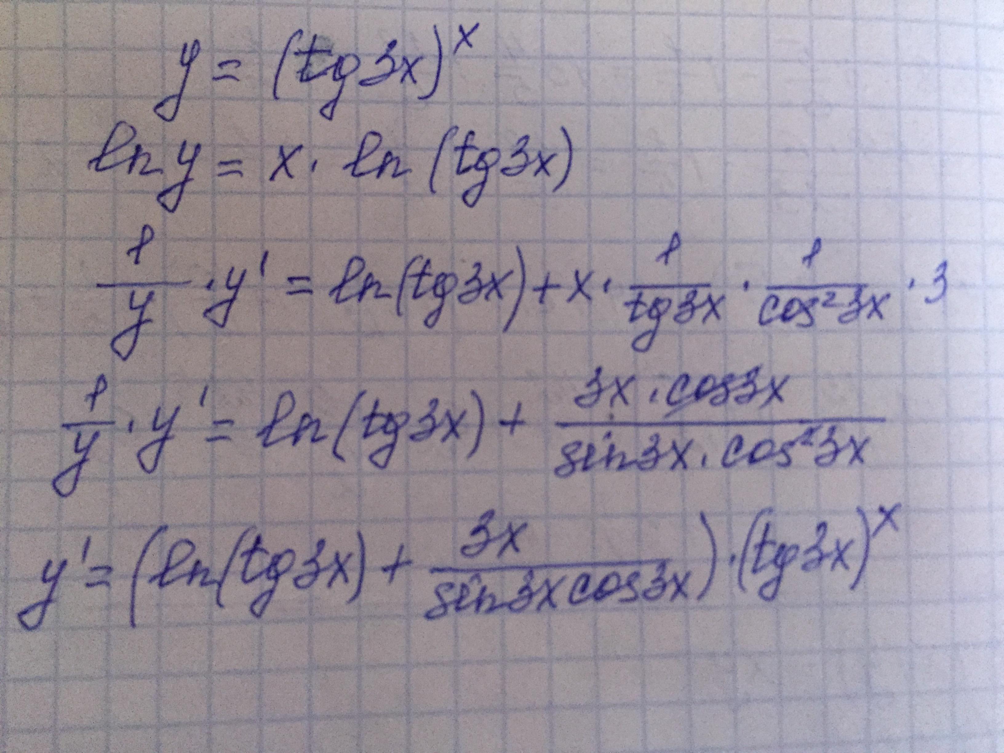
Найти производную функции y= (tg3x)^x
Ответы
Автор ответа:
0
Ответ:
===========================
Пошаговое объяснение:
Приложения:
Похожие вопросы
Предмет: Русский язык,
автор: Аноним
Предмет: Алгебра,
автор: plxyae
Предмет: Физика,
автор: sofiazp261
Предмет: Математика,
автор: error55876
Предмет: Математика,
автор: piterparker79