Предмет: Математика,
автор: PAIN1999
Задание 13 решить
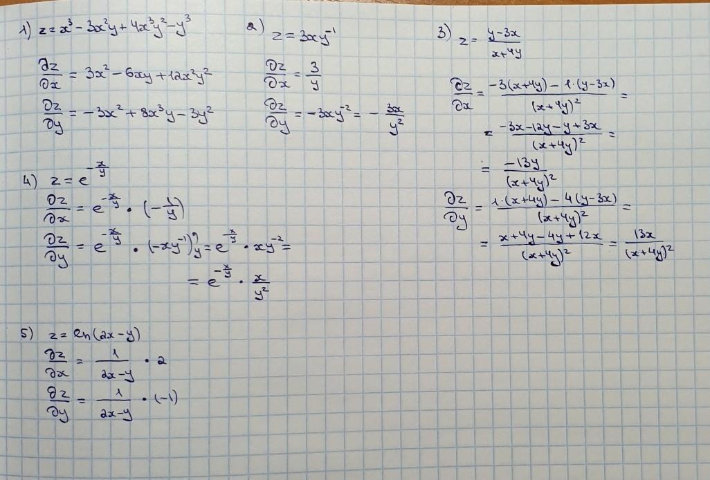
Найти частные производные функций
Приложения:
Ответы
Автор ответа:
0
Ответ:
решение на фотографии
Приложения:
Похожие вопросы
Предмет: Геометрия,
автор: amirzhakiya
Предмет: Геометрия,
автор: lizaaakonvisarova
Предмет: Українська література,
автор: Pelmenchuk
Предмет: Геометрия,
автор: Женя1999123
Предмет: Математика,
автор: дамир178