Предмет: Алгебра,
автор: cesihinav203

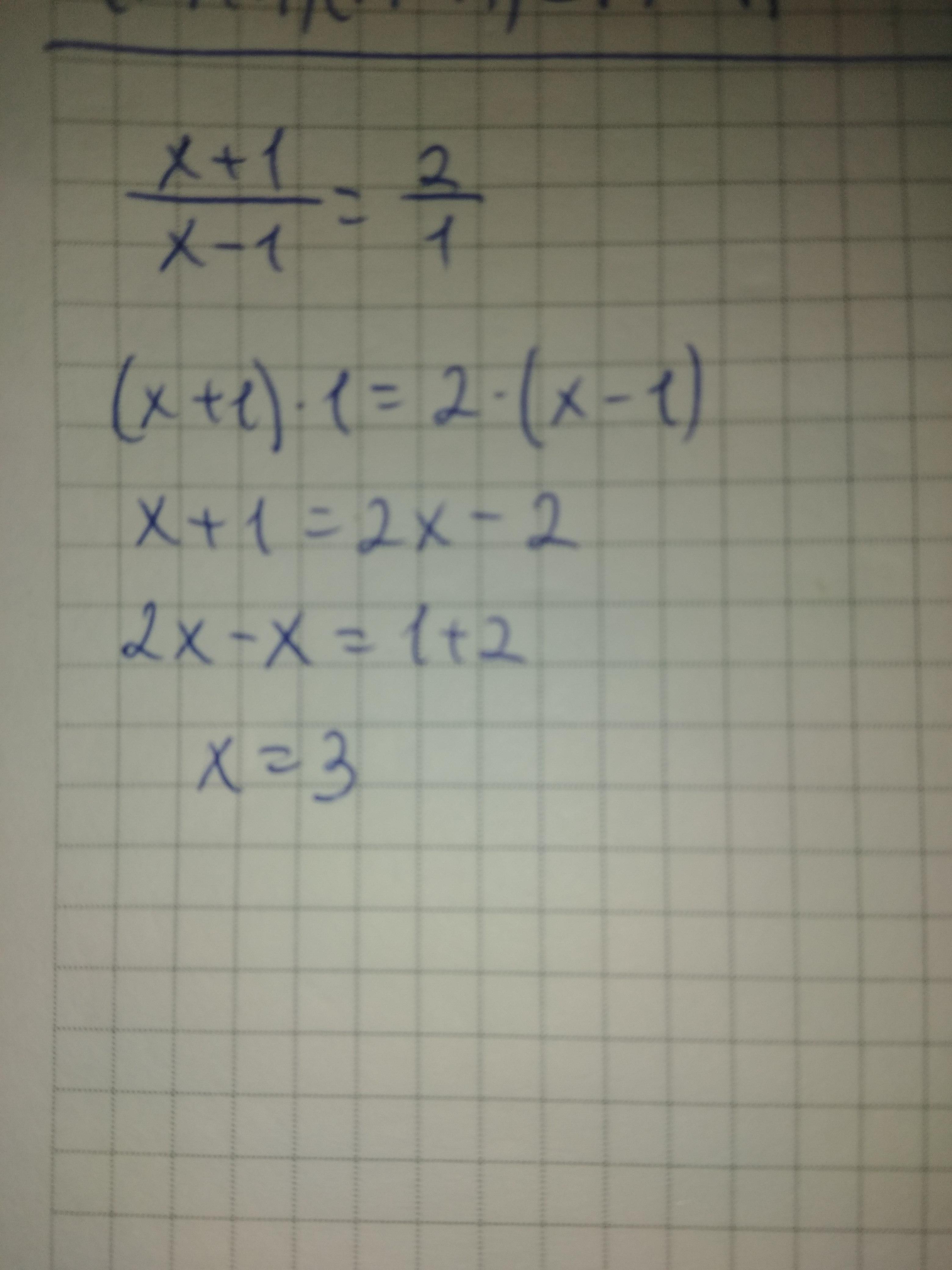
Решить уравнение :
Ответы
Автор ответа:
0
Решение во вложении.
Приложения:
Автор ответа:
0
Похожие вопросы
Предмет: Українська мова,
автор: mankosnizanna
Предмет: Математика,
автор: ajsu783
Предмет: Алгебра,
автор: kusainovaliana6
Предмет: География,
автор: MrHeero
Предмет: Математика,
автор: Настась2004