Предмет: Алгебра,
автор: милашечка24
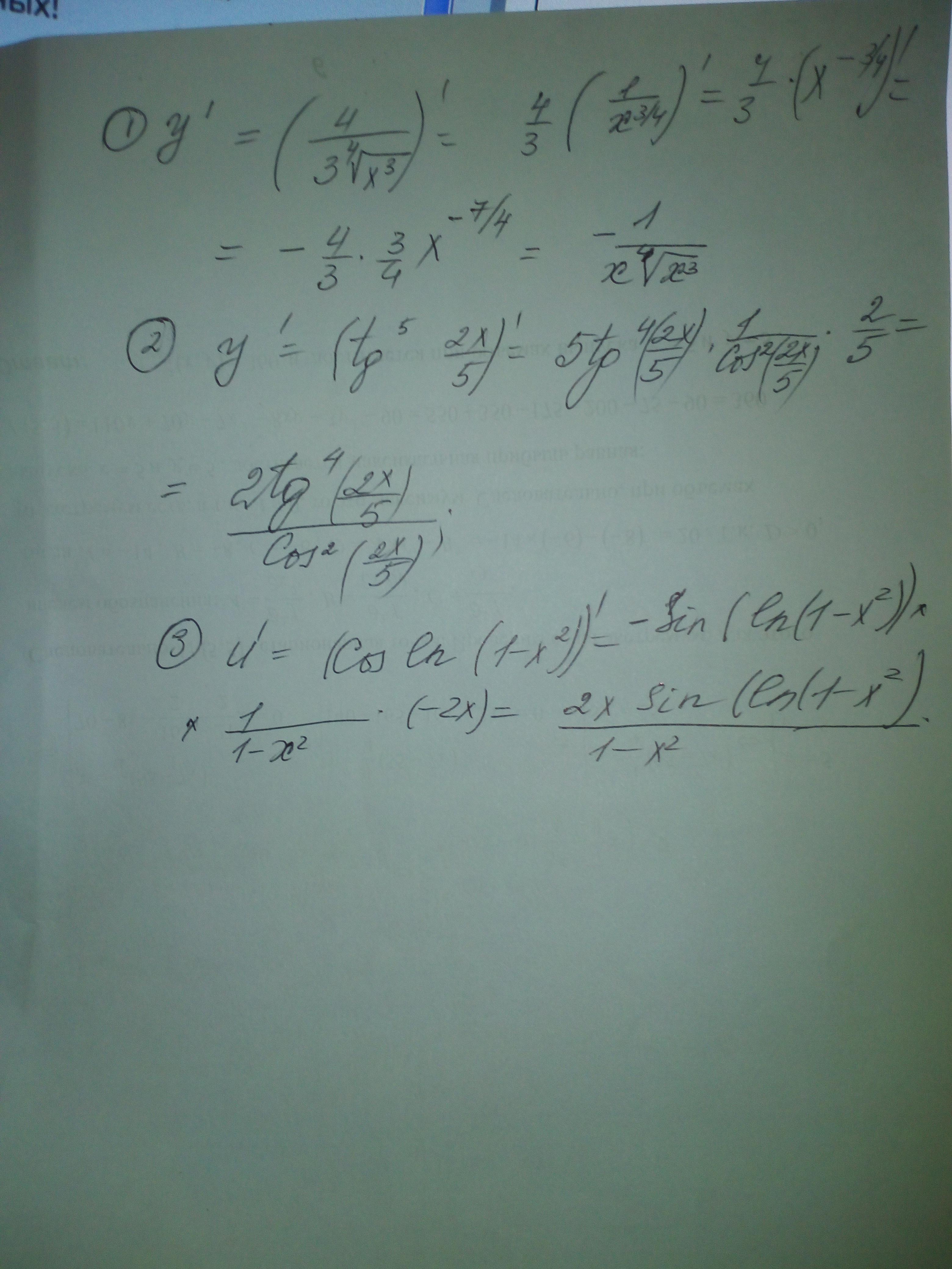
Помогите пожалуйста решить математику по вопросам производных!
Приложения:
Ответы
Автор ответа:
1
Ответ:
=======================
Объяснение:
Приложения:
Автор ответа:
1
Ответ:во вложении Объяснение:
Приложения:
Похожие вопросы
Предмет: Математика,
автор: GGGGGGGGGGGGGGMIO
Предмет: Математика,
автор: toktasynajym330
Предмет: Английский язык,
автор: nastia54864
Предмет: Математика,
автор: danil609
Предмет: Математика,
автор: ElinaShpuy2007