Предмет: Алгебра,
автор: LidaDay
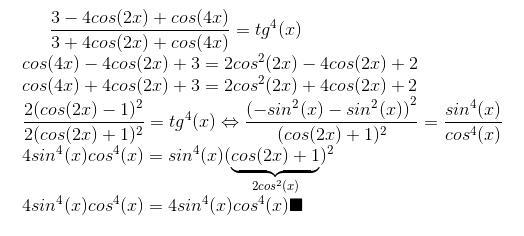
АЛГЕБРА 80 БАЛЛОВ ПОМОГИТЕ ПОЖАЛУЙСТА СРОЧНО
Приложения:
Ответы
Автор ответа:
1
////////////////////////////////////////
Приложения:
Похожие вопросы
Предмет: Английский язык,
автор: Zamira3656
Предмет: Химия,
автор: zhannaansi3849
Предмет: Геометрия,
автор: aleksandrashvets088
Предмет: Литература,
автор: adam99999999999
Предмет: Биология,
автор: Signiya