Предмет: Математика,
автор: elizabetfirst01
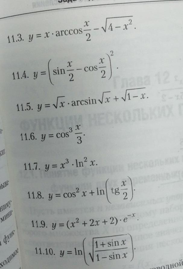
Помогите найти производные функций
Приложения:
Ответы
Автор ответа:
1
Ответ:
решение на фотографиях
Приложения:
elizabetfirst01:
Спасибо огромное)))))
Похожие вопросы
Предмет: История,
автор: lianakadzhaia
Предмет: Геометрия,
автор: tsybandiana2009
Предмет: Математика,
автор: a68663914
Предмет: Химия,
автор: pulushchuk