Предмет: Алгебра,
автор: AnnyFilimonova
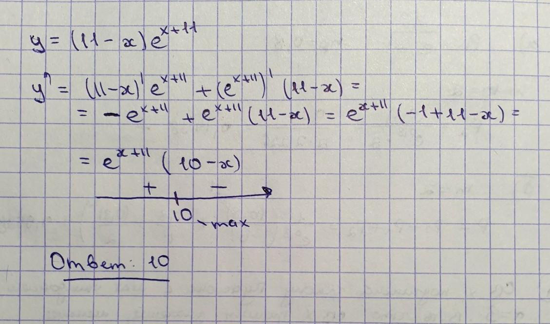
Найдите точку максимума функции: y=(11-x)eˣ⁺¹¹
Ответы
Автор ответа:
2
Ответ:
решение на фотографии
Приложения:
Похожие вопросы
Предмет: Физика,
автор: iva22392
Предмет: Українська література,
автор: t8961394
Предмет: Математика,
автор: solihasoliha109
Предмет: Литература,
автор: timur130