Предмет: Математика,
автор: vertex19095
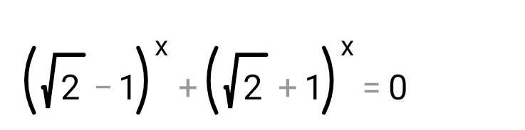
Решить ур-е..........
Приложения:
Ответы
Автор ответа:
1
Ответ:
Пошаговое объяснение:
Рівняння не має розв"язків
Ліва частина завжди більша 0
Похожие вопросы
Предмет: Английский язык,
автор: tus1111
Предмет: Українська мова,
автор: polzopolp
Предмет: Українська мова,
автор: vikakaroseva
Предмет: Информатика,
автор: annickishina20
Предмет: Математика,
автор: оллопп