Предмет: Математика,
автор: tarakanalan
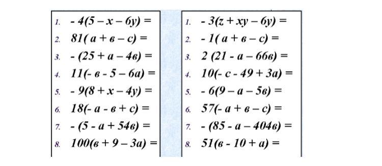
Пожалуйстапомогите пожалуйста , все 16 примеров
Приложения:
Ответы
Автор ответа:
0
Ответ:
1) -20+4x+24y 1) -3z-3xy+18y
2) 81a+81b-81c 2) -a-b+c
3) -25-a+4b 3) 42-2a-132b
4) -11b-55-66a 4) - 10c-490+30a
5) - 72-9x+36y 5) - 54+6a+30b
6) - 18a-18b+18c 6) - 57a+57b-57c
7) -5+a-54b 7) - 85+a+404b
8) 100b+900-300a 8) 51b-510+51a
Похожие вопросы
Предмет: Геометрия,
автор: Аноним
Предмет: Геометрия,
автор: aannyyaam579
Предмет: Физика,
автор: zenickakondratenko
Предмет: Математика,
автор: kristy200487
Предмет: Математика,
автор: света729