Предмет: Алгебра,
автор: gladik2006
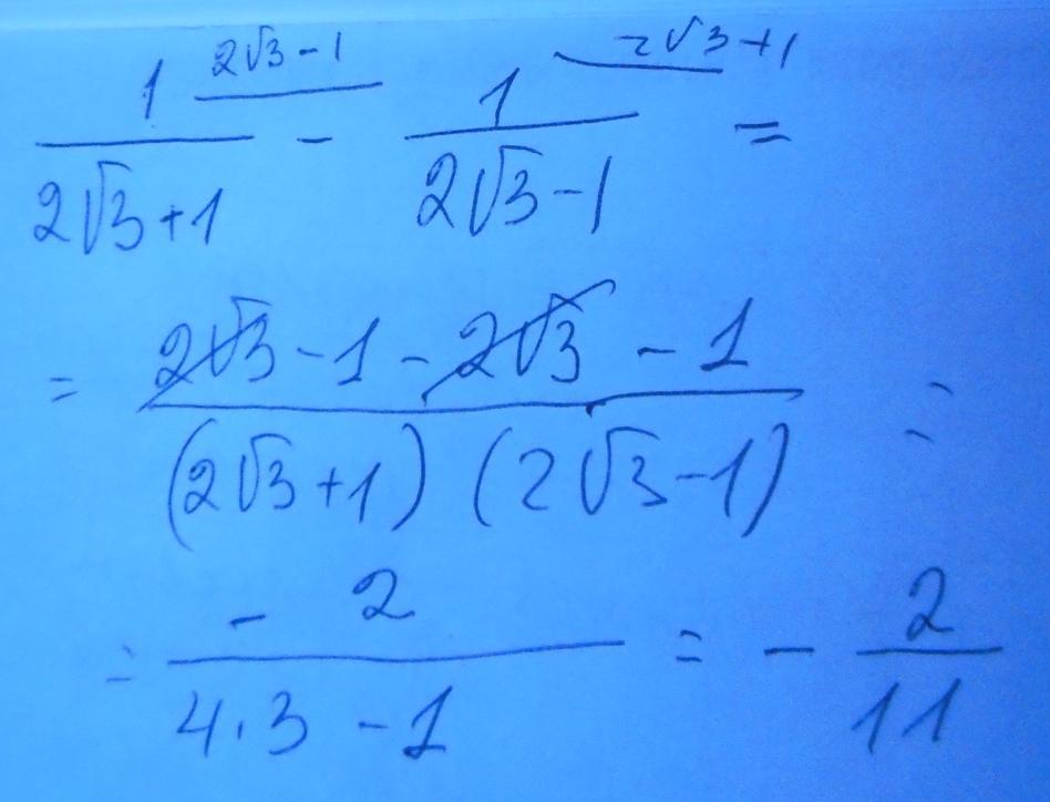
Докажите, что значение выражения

есть число рациональное. Срочно! Заранее спасибо.
Ответы
Автор ответа:
1
!!!!!!!!!!!!!!!!!!!!!!!!!!!!!!!!
Приложения:
Похожие вопросы
Предмет: Русский язык,
автор: sulgunsaparklycewa06
Предмет: Математика,
автор: muzaffarovnazleddin
Предмет: Українська література,
автор: daryasotska
Предмет: Литература,
автор: Liza197867