Предмет: Математика, автор: akulova011020063

учи.ру формула......​

Приложения:

lakOR555: 8ху + (3у)²
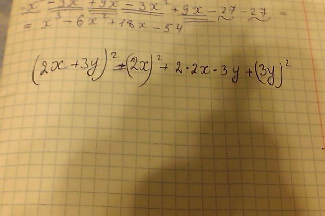
Олеся9006: Квадрат суммы. (2х)^2+2*2х*3у+(3у)^2

Ответы

Автор ответа: Dmitry1986
3

Вот я сам решил эту заданию ваш ответ

Приложения:

Dmitry1986: (2x)²+2*2x*3y+(3y)²=4x²+12xy+9y²
akulova011020063: 2*2х*3у
Автор ответа: Аноним
3

Ответ:

4x²+12xy+9y²

Пошаговое объяснение:

(2x)²+2*2x*3y+(3y)²=4x²+12xy+9y²


akulova011020063: неверно
Похожие вопросы
Предмет: Українська література, автор: Аноним
Предмет: Математика, автор: byupa5wha4