Предмет: Математика, автор: vasyapupkin364

Помогите, пожалуйста.​

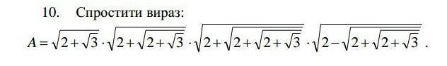
Приложения:

Ответы

Автор ответа: igundane
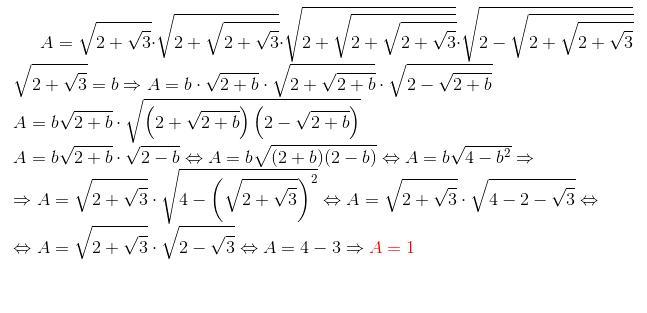
2

/////////////////////////////////////////////

Приложения:

vasyapupkin364: Спасибо
vasyapupkin364: Да, все просто идеально
Автор ответа: banan5555
0

\sqrt{4-3}Ответ:

Пошаговое объяснение:\sqrt{(2+\sqrt{3} )(2+\sqrt{2+\sqrt{3} )} (2+\sqrt{2+\sqrt{2+\sqrt{3} })}(2-\sqrt{2+\sqrt{2+\sqrt{3} })}

[tex]\sqrt{(2+\sqrt{3} )(2+\sqrt{2+\sqrt{3} )} (2-\sqrt{2+\sqrt{3} })}\sqrt{(2+\sqrt{3} )(4-2-\sqrt{3} } \sqrt{(2+\sqrt{3} )(2-\sqrt{3} } }[/tex]


banan5555: ага
banan5555: короче с техом проблема,но там везде разность квадратов
Похожие вопросы