Предмет: Алгебра,
автор: NelliVol26
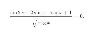
решите уравнение, пожалуйста
Приложения:
Ответы
Автор ответа:
1
Ответ:
решение на фотографии
Приложения:
Похожие вопросы
Предмет: Математика,
автор: Аноним
Предмет: Физика,
автор: tassholpan
Предмет: Математика,
автор: heseli827
Предмет: Математика,
автор: namitjaeva
Предмет: Математика,
автор: aaaa888