Предмет: Алгебра, автор: MIDNIGHTY

Решите пожалуйста! СРОЧНО

Приложения:

Ответы

Автор ответа: NNNLLL54
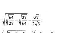
1

\sqrt{\sqrt[3]{\frac{64}{27}}-\sqrt[3]{\frac{27}{64}}}-\frac{\sqrt7}{2\sqrt3}=\sqrt{\frac{4}{3}-\frac{3}{4}}-\frac{\sqrt7}{2\sqrt3}=\sqrt{\frac{16-9}{12}}-\frac{\sqrt7}{2\sqrt3}=\\\\=\sqrt{\frac{7}{12}}-\frac{\sqrt7}{\sqrt{12}}=\sqrt{\frac{7}{12}}-\sqrt{\frac{7}{12}}=0

Автор ответа: PVJ
1

Відповідь:

Пояснення:

Приложения:
Похожие вопросы
Предмет: Информатика, автор: valyavorobeva97
Предмет: География, автор: VladSamox2696
Предмет: Математика, автор: jusecokletoklas
Предмет: Математика, автор: Дедмороз11177