Предмет: Математика, автор: alexeylebedev91

Найдите длину отрезка, изображенного на рисунке.

Приложения:

Ответы

Автор ответа: koshakx
4

Ответ:

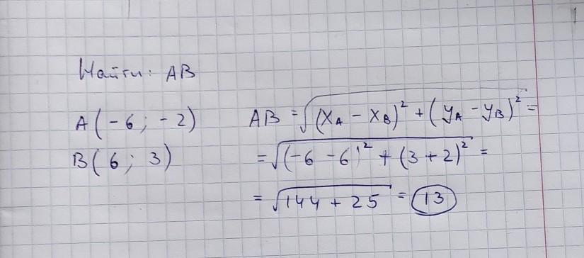
13 (решение на фото).......

Приложения:
Автор ответа: Amigo3
1

Ответ: длину найдём по теореме Пифагора. Длины катетов 6+6=12 и 2+3=5 единиц. Искомая длина равна корень из(12^2+5^2)=корень из 169=13 ед ниц.

Пошаговое объяснение:

Похожие вопросы
Предмет: Русский язык, автор: Leyla114174
Предмет: Русский язык, автор: Leyla114174
Предмет: Обществознание, автор: TlegenProMLG
7 КЛАСС
___Вопросы и задания к главе 2____
I. Объясните, докажите.
3. Докажите, что деятельность человека отличается от поведенческой активности животных.
6.Объясните, чем практическая деятельность отличается от научного эксперимента и что между ними общего.
II. Выберите правильный ответ.
3. Отличительной особенностью языка человека является:
1) Наличие сигналов;
2) Беспредметность;
3) Эмоциональность;
4) Наличие слов;
6. К высшим потребностям человека относятся:
1) Духовные потребности;
2) Социальные потребности;
3) Физиологические потребности;
4) Психологические потребности;
9. Особенностью деятельности человека являются то, что она:
1) Обусловлена потребностями;
2) Является проявление поведенческой активности;
3) Направлена на утоление голода;
4) Является проявлением целесообразности активности;
12. Верны ли следующие суждения об истине?
А. Относительная истина всегда субъективна, только абсолютной истине свойственна объективность.
Б. Истина - это предмет, каков он есть на самом деле.
1) Верно только А;
2) Верно только Б;
3) Оба суждения не верны;
4) Оба суждения верны;
15. Какое слово пропущено в таблице?
Деятельность
____________________________________________________
| Элементы деятельности | Содержание |
-----------------------------------------------------------------------------------------------—
| Мотив | Побудитель или толчок к действию |
-----------------------------------------------------------------------------------------------—
| ...| Осознаваемая нужда в чем-то |
-----------------------------------------------------------------------------------------------—
18. Ниже приведен ряд терминов. Все они, за исключением двух, относятся к понятию "НАУЧНОЕ ПОЗНАНИЕ".
1) Игра; 2) Природная запрограммированность; 3) Общение; 4) Инстинкт; 3) Учение; 6) Труд;
Какие термины выпадают из этого ряда?
21. Гражданка И. столкнулась с необычным явлением, и ей захотелось узнать о нем подробнее. С этой целью она пошла в библиотек и нашла целую подборку книг, посвященному ему. Затем в лаборатории где она работала, провела эксперименты, о которых вычитала в книгах. Полученные результаты И. сопоставила с поразившем ее явлением и пришла к выводу о том, что авторы книг были правы.
О каком виде познание идет речь? Приведите примеры из текста, подтверждающие вашу точку зрения.
Предмет: Математика, автор: MrKillerDaniel