Предмет: Математика,
автор: egorthik61
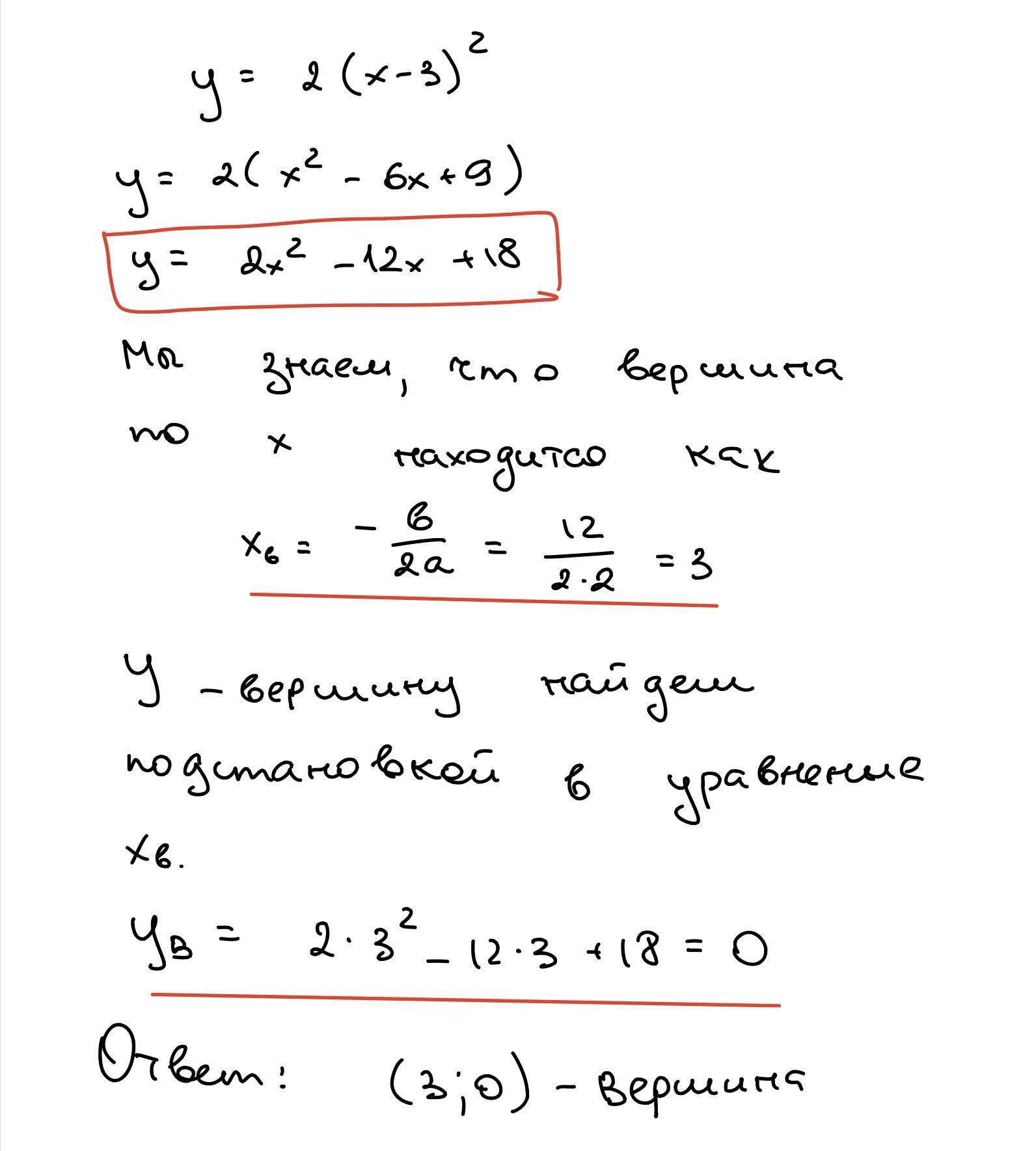
Определите координаты вершины параболы у=2(x-3)^2
Ответы
Автор ответа:
1
у=2х^2-12х+18;
х0=-b/2a;x0=12/4=3;
y0=2•3^2-12•3+18=18-36+18=0;
Координата вершины (3;0)
Автор ответа:
1
Ответ:
решение в прилжении
Приложения:
Похожие вопросы
Предмет: Математика,
автор: winxfeechka8
Предмет: Математика,
автор: olexandrch104
Предмет: Математика,
автор: kim4ikk
Предмет: Физика,
автор: slavacirlan
Предмет: Биология,
автор: istratuk