Предмет: Математика,
автор: sofiyametsoyan
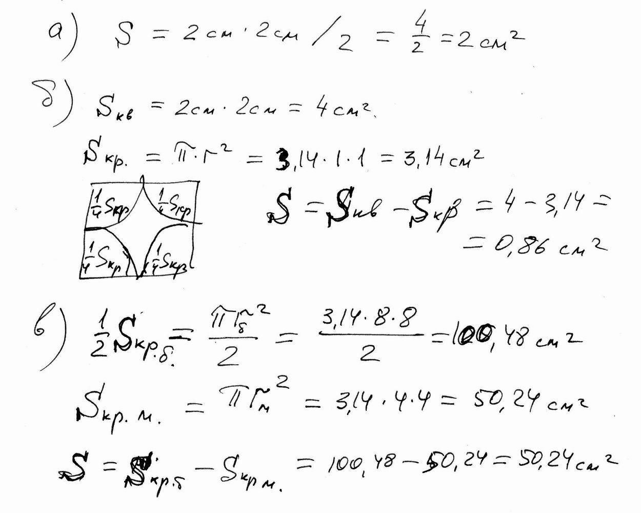
Нужно найти площадь фигур. Сделай пожалуйста на листе и отправь мне в ответы. Спам удаляю, и даю 25 баллов!Смотри файл:
Приложения:
Ответы
Автор ответа:
0
Ответ:
а) S = 2 см², б) S = 0,86 см², в) S = 50,24 см²,
Пошаговое объяснение:
Приложения:
Похожие вопросы
Предмет: Алгебра,
автор: aminaaa5762
Предмет: Геометрия,
автор: arc1volt3
Предмет: Экономика,
автор: tamilamukha
Предмет: Математика,
автор: LOLKAJOL
Предмет: Математика,
автор: мурад93