Предмет: Алгебра,
автор: п9та4ёк
Прошу помогите срочно дам 20 баллов
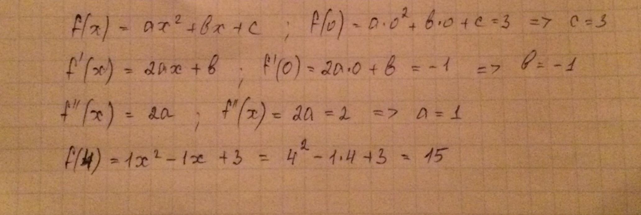
Известно, что f(x) квадратичная функция, причём f(0)=3, ..... Найти значение
Приложения:
Ответы
Автор ответа:
2
Ответ: f(4)=15
Объяснение:
Приложения:
Похожие вопросы
Предмет: Геометрия,
автор: karinapaska01
Предмет: Английский язык,
автор: fantik2280
Предмет: Українська мова,
автор: marifshaa
Предмет: Физика,
автор: dangerousqqq