Предмет: Алгебра,
автор: gozer10
Помогите решить позязя, подробно очень
Приложения:
Ответы
Автор ответа:
2
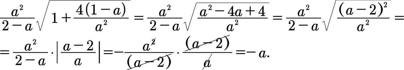
Ответ: -а.
Будут вопросы - спрашивай.
Приложения:
gozer10:
все очень понятно, спасибо
Похожие вопросы
Предмет: Українська мова,
автор: xeniai102
Предмет: Литература,
автор: makspukas9206
Предмет: Обществознание,
автор: BOGAN9011
Предмет: История,
автор: Rumak06
Предмет: Алгебра,
автор: СветланаКайль