Предмет: Алгебра,
автор: afddont
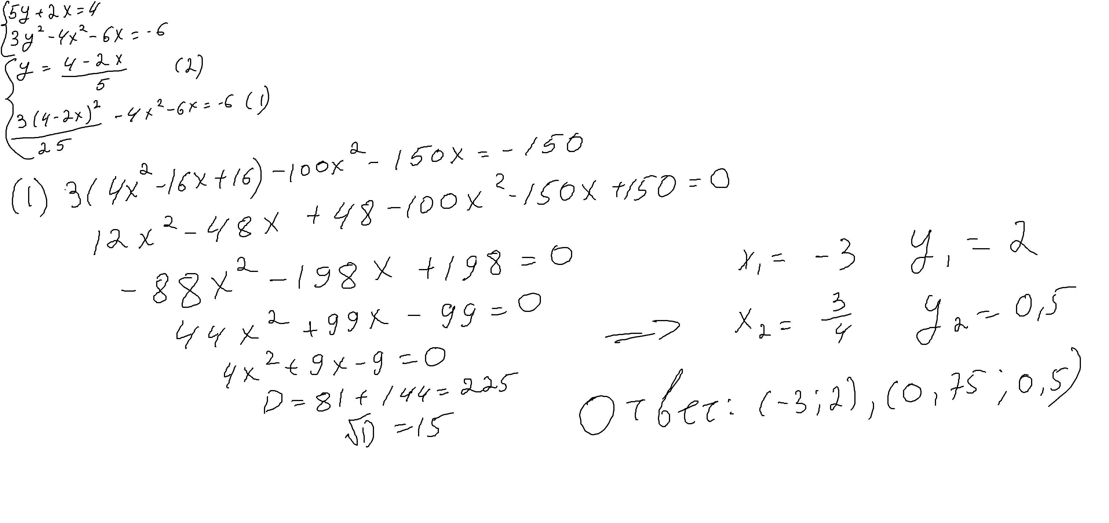
помогите решить уравнение
Приложения:
Ответы
Автор ответа:
0
Это система уравнений) Решение на фото.
Стараюсь быть лучшим для вас!
Приложения:
Похожие вопросы
Предмет: Математика,
автор: nikitas66
Предмет: Қазақ тiлi,
автор: dimanvestev
Предмет: Информатика,
автор: pomidorkasvezhaya
Предмет: История,
автор: катя3673
Предмет: Математика,
автор: глаз23