Предмет: Алгебра,
автор: misha2904
даю 35 очень надо срочно
Приложения:
Ответы
Автор ответа:
1
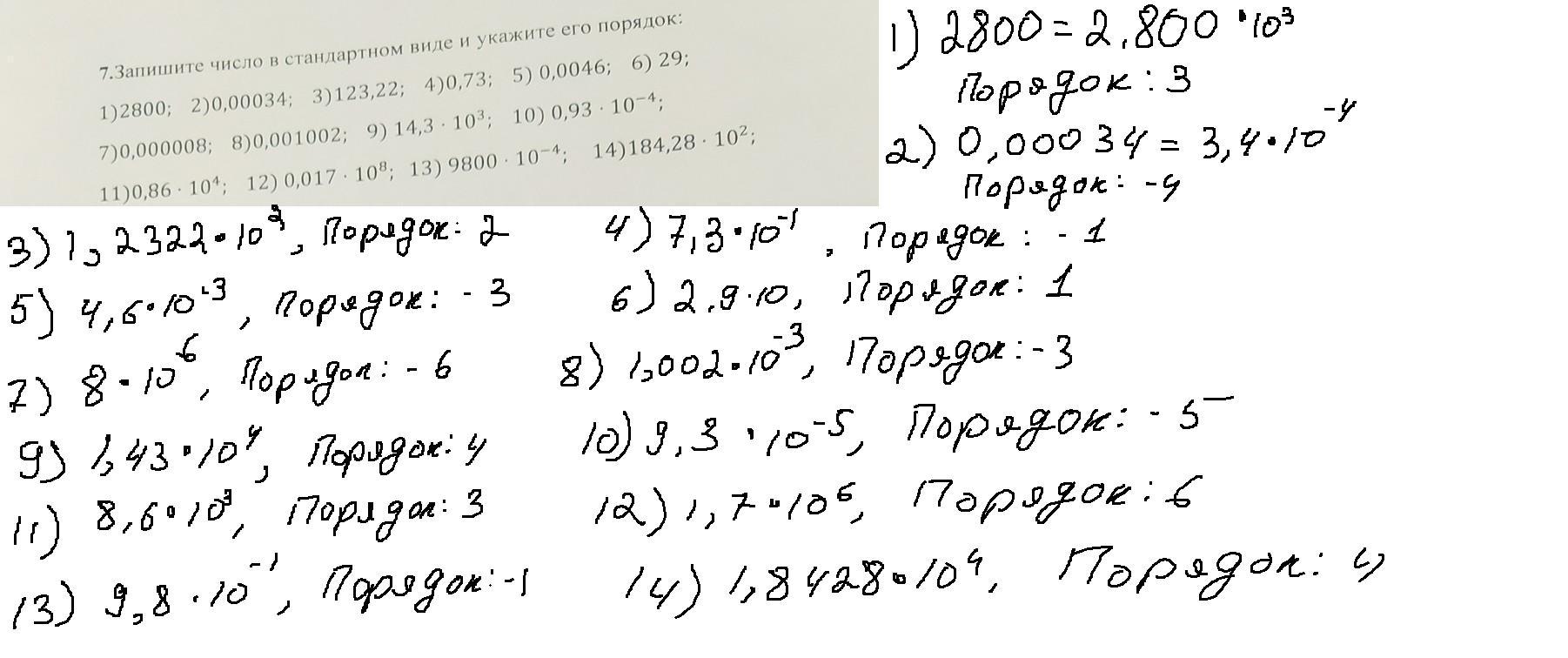
Решение на фото.
Стараюсь быть лучшим для вас!
Приложения:
dmytrododuliak:
помогите подалуйста
нужна помощь с методом лагранжа
возьмётесь?
не совсем
понятно
Похожие вопросы
Предмет: Математика,
автор: ulkervk
Предмет: Математика,
автор: s83000
Предмет: Математика,
автор: vkerkolub2009
Предмет: Математика,
автор: oleggura2000
Предмет: Математика,
автор: Аноним