Предмет: Алгебра,
автор: aleksejaleksej2
Решите задачу 1,2 пожалуйста
Приложения:
Ответы
Автор ответа:
1
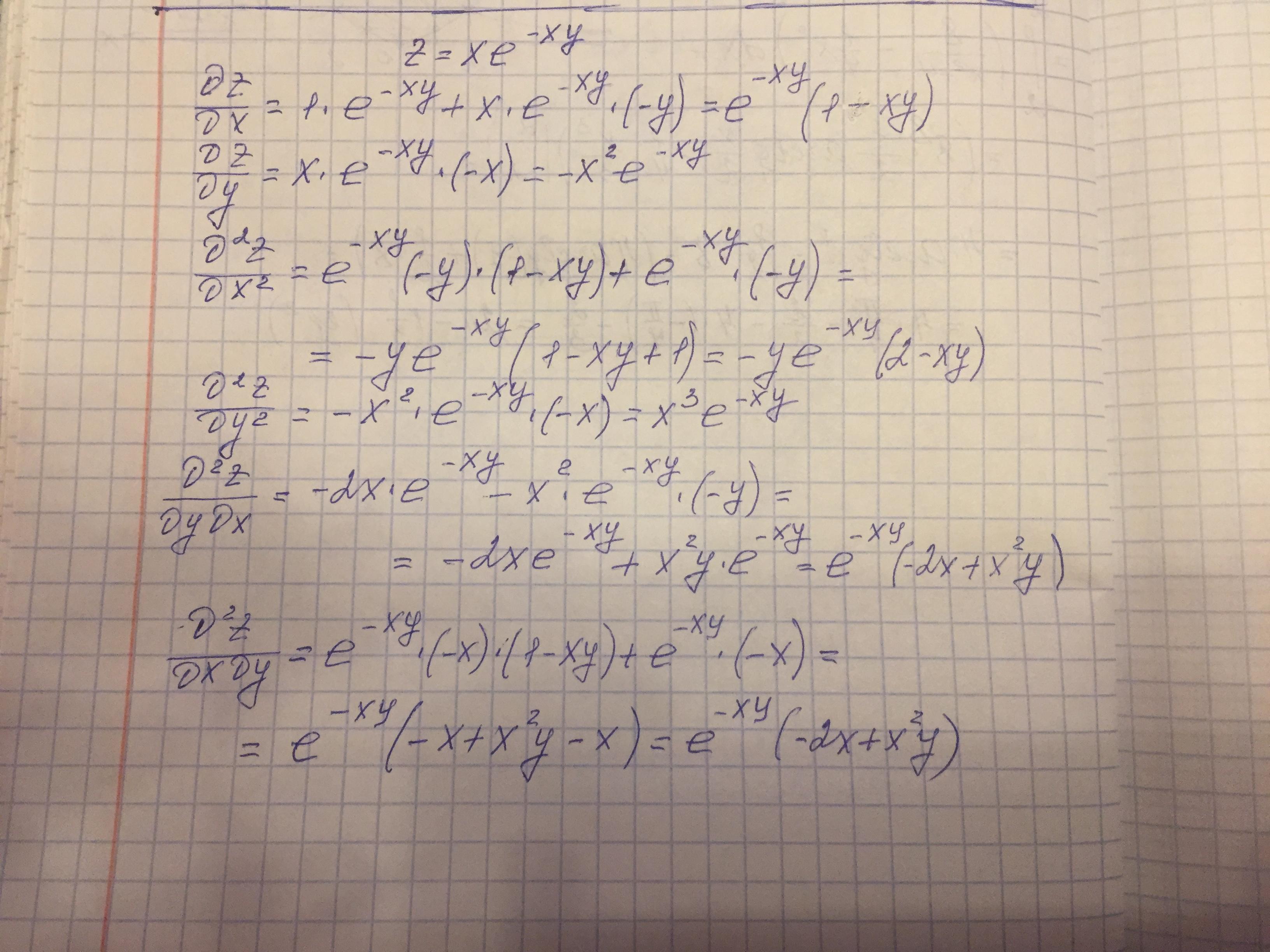
Ответ:
==============================
Объяснение:
Приложения:
Похожие вопросы
Предмет: Українська мова,
автор: mavile17071
Предмет: Физика,
автор: Popovichinna1970110
Предмет: Математика,
автор: vika13062010vika
Предмет: Математика,
автор: ААнгелиночкАА
Предмет: Геометрия,
автор: didi57