Предмет: Алгебра, автор: kafetochka2011

Найти пределы функций, не пользуясь правилом Лопиталя:

Приложения:

Ответы

Автор ответа: Аноним
0

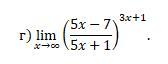
По второму замечательному пределу:

\displaystyle \lim_{x \to \infty}\Bigg(\dfrac{5x-7}{5x+1}\Bigg)^\big{3x+1}=\lim_{x \to \infty}\Bigg(1-\dfrac{8}{5x+1}\Bigg)^\big{\left(-\frac{8}{5x+1}\right)\cdot\left(-\frac{5x+1}{8}\right)\cdot (3x+1) }=\\ \\ \\ =e^\big{\lim_{x \to \infty}-\frac{8(3x+1)}{5x+1}}=e^\big{-\frac{24}{5}}

Похожие вопросы
Предмет: Другие предметы, автор: Lili0212
Предмет: Математика, автор: СашаКоролевич