Предмет: Математика, автор: FigyrkaPor

Предел функции, помоги решить пожалуйста

Приложения:

Ответы

Автор ответа: studyprogrammer2019
0

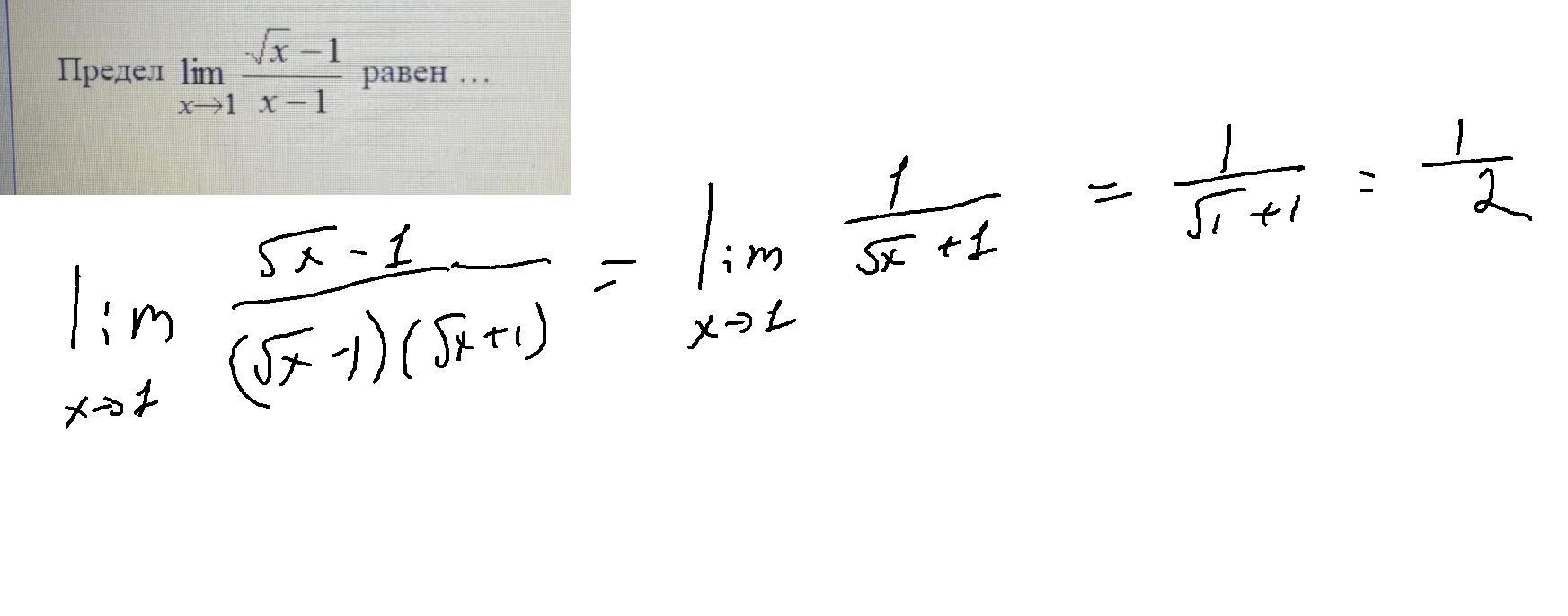
Решение на фото.

Стараюсь быть лучшим для вас)

Приложения:
Автор ответа: Аноним
0

Ответ:

0.5

Пошаговое объяснение:

\lim\limits_{x \to 1} \frac{\sqrt{x}-1}{x-1}=\{\frac{0}{0}\}=\lim\limits_{x \to 1} \frac{(\sqrt{x}-1)(\sqrt{x}+1)}{(x-1)(\sqrt{x}+1)}=\lim\limits_{x \to 1} \frac{x-1}{(x-1)(\sqrt{x}+1)}=\lim\limits_{x \to 1} \frac{1}{\sqrt{x}+1}=\\ \\ =\frac{1}{1+1} =0.5

Похожие вопросы