Предмет: Алгебра, автор: Аноним

A/b+a=b/a+b найдите 1/a+1/b

Ответы

Автор ответа: solomiyatim
0

 \frac{a}{b}  + a =  \frac{b}{a}  + b \\  \frac{a}{b}  -  \frac{b}{a}  = b - a \\  \frac{(a - b)(a + b)}{ab}  = b - a \\  -  \frac{a + b}{ab}  = 1 \\   \frac{a + b}{ab}  =  - 1

 \frac{1}{a}  +  \frac{1}{b}  =  \frac{a + b}{ab}

Ответ: -1

Если будут вопросы- обращайтесь:)

Автор ответа: PVJ
0

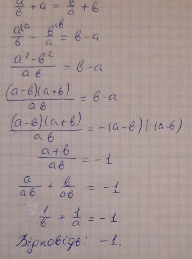
Відповідь:

Пояснення:

Приложения:
Похожие вопросы
Предмет: Математика, автор: kolzam7694
Предмет: Математика, автор: marusyasobolev3013
Предмет: Литература, автор: Vivicherry5666
Предмет: Алгебра, автор: irinaplahina00