Предмет: Алгебра,
автор: jeff70
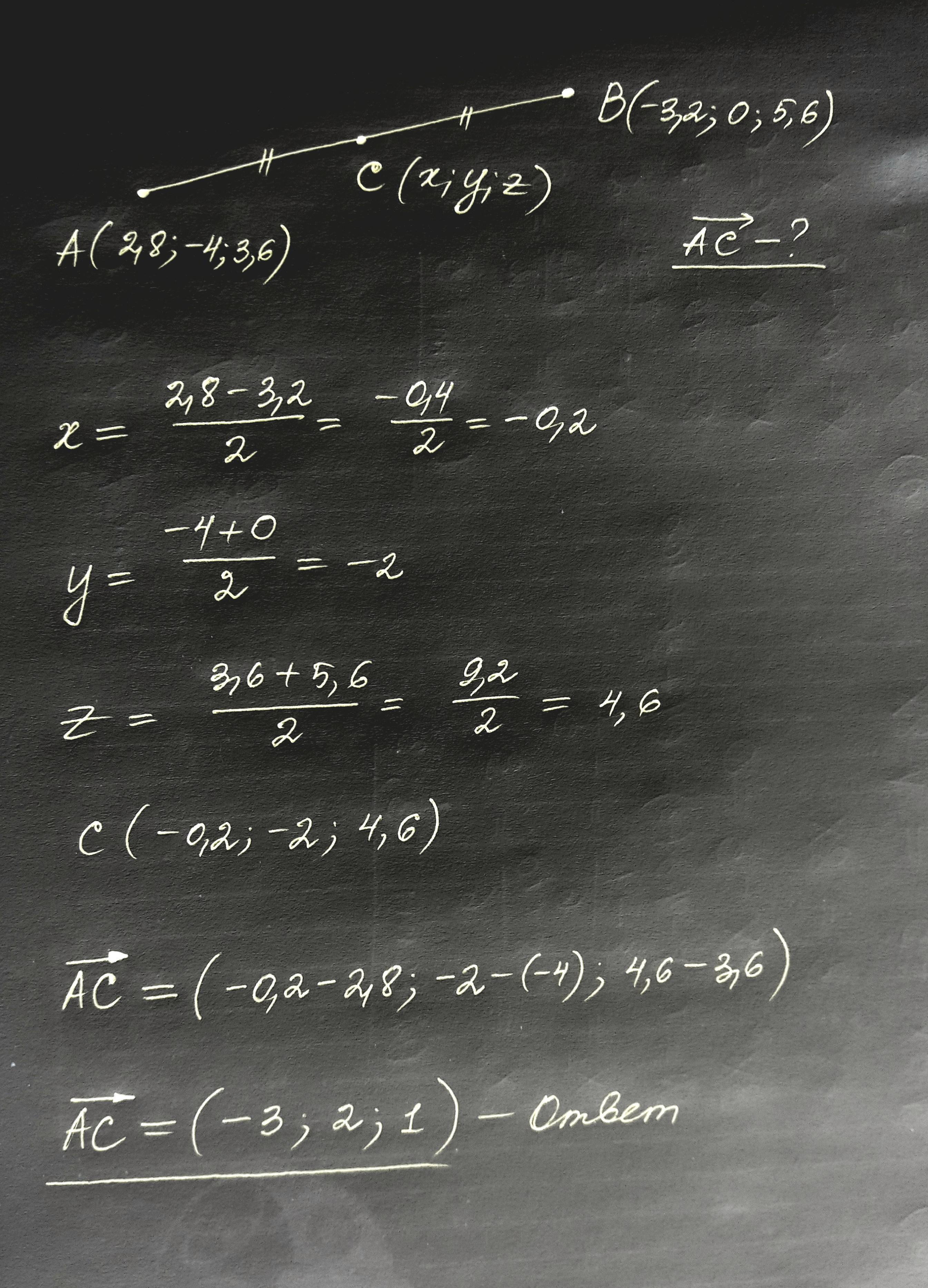
Даны координаты вектора (на фото).Точка C-середина отрезка AB.Найдите координаты вектора AC
Приложения:
Ответы
Автор ответа:
1
Решение приложено
==========================================================
Приложения:
jeff70:
Профессионал!
Похожие вопросы
Предмет: Математика,
автор: kulinyaf277
Предмет: Русский язык,
автор: yanaamosenko4653
Предмет: Математика,
автор: Tscharli4294
Предмет: Математика,
автор: egor29773