Предмет: Алгебра,
автор: alexanderoj1337
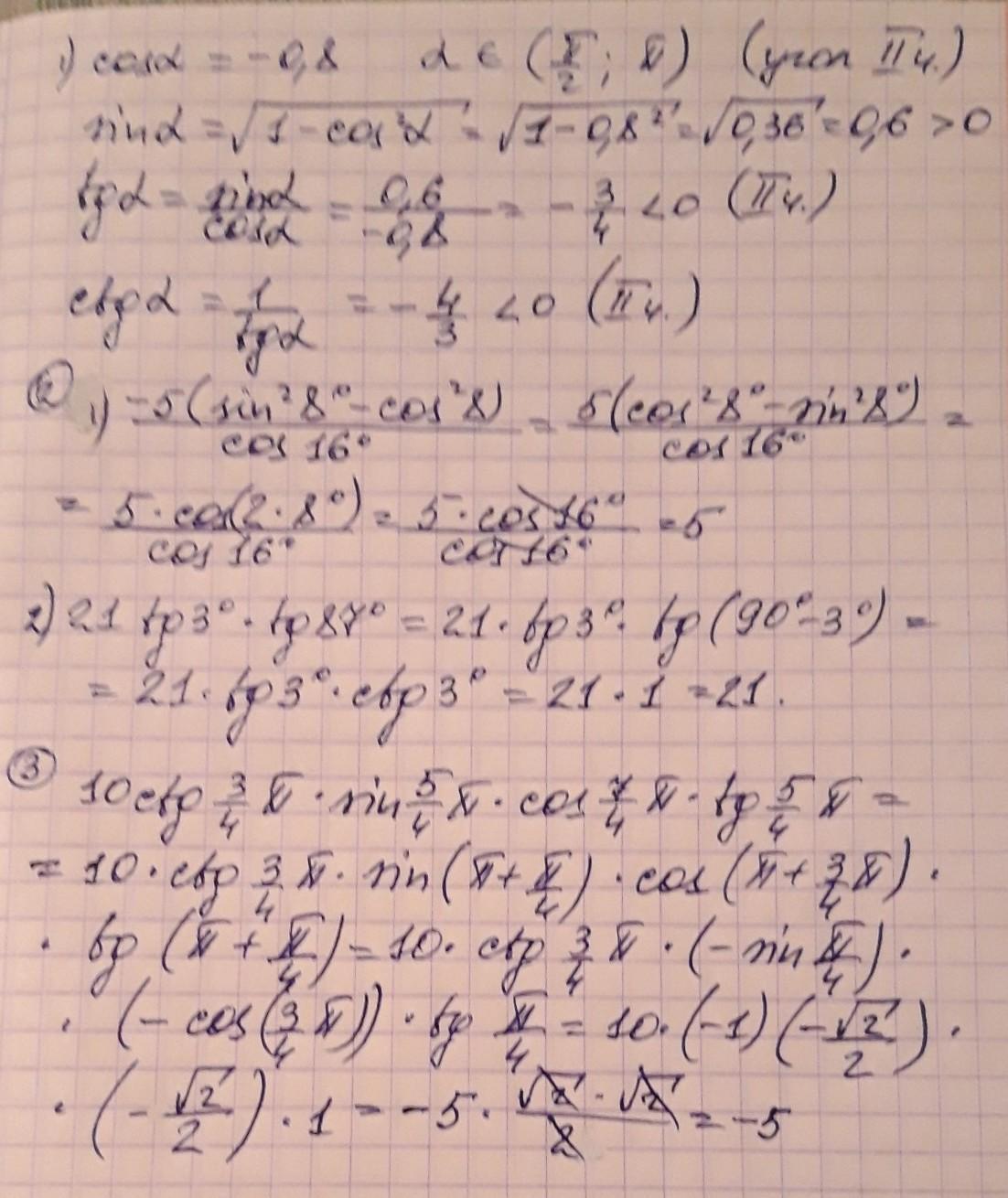
Тригонометрия,помогите,пожалуйста
Приложения:
Ответы
Автор ответа:
0
Ответ:
Тригонометрические преобразования.
Приложения:
Похожие вопросы
Предмет: Математика,
автор: amin4120
Предмет: Русский язык,
автор: Alinaangelochek2263
Предмет: Математика,
автор: helloTeacher3368
Предмет: Литература,
автор: beka47