Предмет: Математика,
автор: artemkarisev420
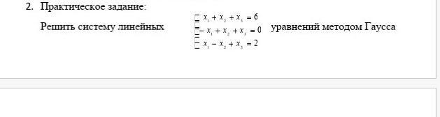
помогите пожалуйста
Приложения:
Ответы
Автор ответа:
1
Ответ:
Пошаговое объяснение:
Решение в приложении
Приложения:
Похожие вопросы
Предмет: Математика,
автор: alikhanzhakypbek10
Предмет: Русский язык,
автор: dnlkzntsv
Предмет: Математика,
автор: alikhanzhakypbek10
Предмет: Математика,
автор: Аноним
Предмет: Геометрия,
автор: DenisShatrov