Предмет: Алгебра,
автор: polinkakot12

Решите пожалуйста
Ответы
Автор ответа:
1
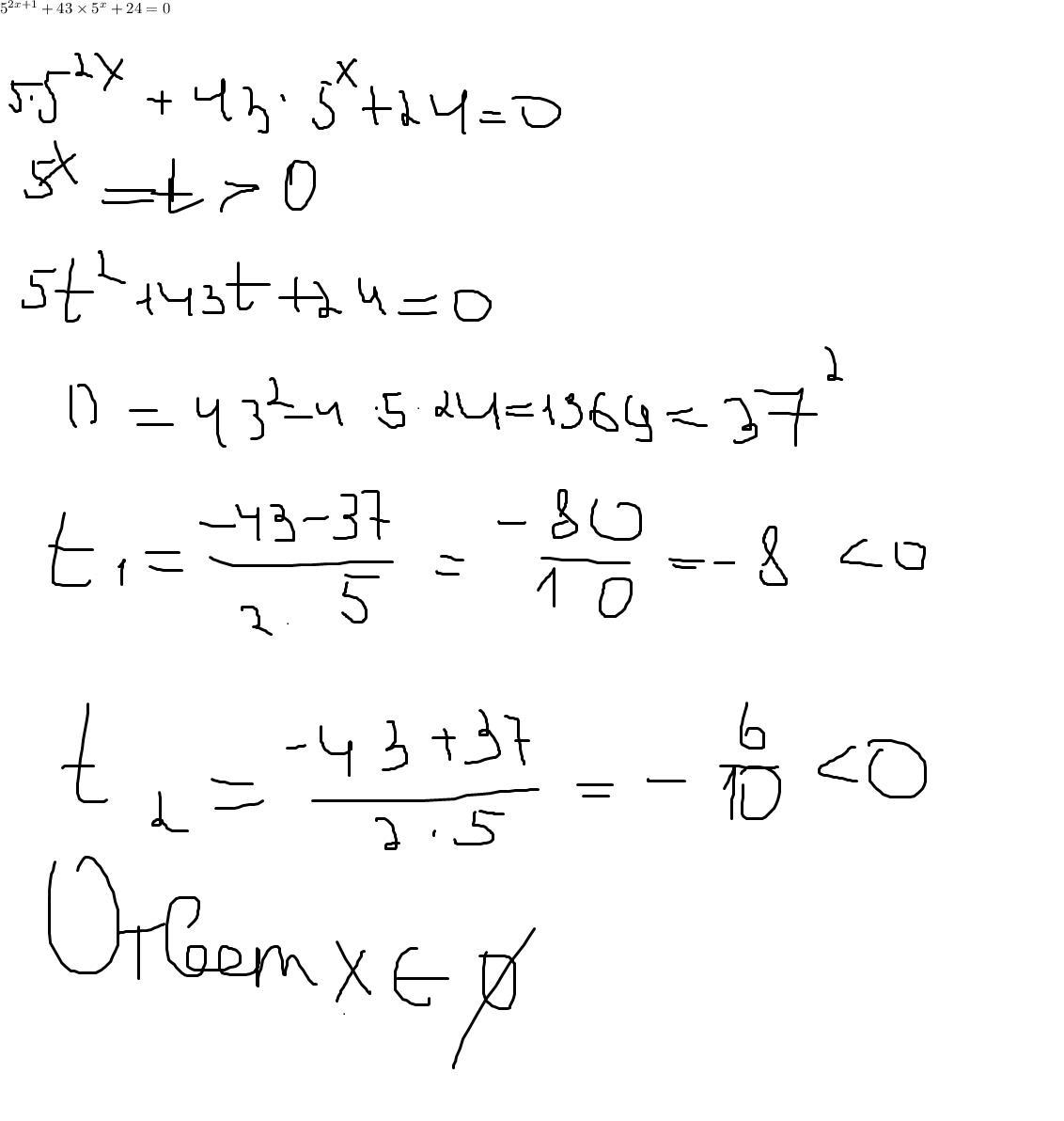
Ответ:
Объяснение:
ВОТ И ВСЕ
Приложения:
Похожие вопросы
Предмет: Математика,
автор: Linda473
Предмет: Математика,
автор: rkia978
Предмет: Математика,
автор: sofkssofiya
Предмет: Биология,
автор: Vikatty
Предмет: Физика,
автор: ilyamenshikov1