Предмет: Математика,
автор: saxinerah
Помогите пожалуйста с решением умоляю(
Приложения:
Ответы
Автор ответа:
0
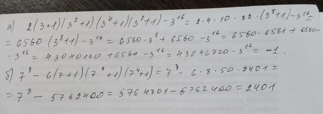
Ответ:
Слишком вязкие примеры...
Приложения:
saxinerah:
На б) ответ 1
Похожие вопросы
Предмет: Математика,
автор: tanyalozovaya96
Предмет: Геометрия,
автор: kropivkaa07
Предмет: Математика,
автор: adamgeforce1036w
Предмет: Математика,
автор: Viper02
Предмет: Алгебра,
автор: mey3