Предмет: Алгебра,
автор: 108aszmop
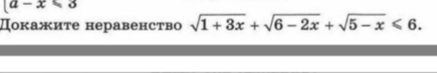
Помогите решить! Доказать неравенство
Приложения:
Ответы
Автор ответа:
1
Решение в прикреплённом файле ниже.
Приложения:
Похожие вопросы
Предмет: Математика,
автор: Аноним
Предмет: История,
автор: Аноним
Предмет: Математика,
автор: Аноним
Предмет: Физика,
автор: NoName24na7
Предмет: Музыка,
автор: vlada267