Предмет: Физика,
автор: AliceSss
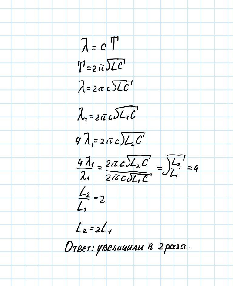
Длину волны, на которую настроен радиоприёмник, увеличили в 4 раза, изменив индуктивность катушки в колебательном контуре. Во сколько раз ее изменили?
Ответы
Автор ответа:
1
Увеличили в 2 раза......................
Приложения:
Похожие вопросы
Предмет: Геометрия,
автор: kasseluwu21
Предмет: Алгебра,
автор: viktoriastfnk
Предмет: Алгебра,
автор: viktoriastfnk
Предмет: Математика,
автор: НекитаВахрушев
Увеличили в 16 раз