Предмет: Математика,
автор: Topchicrulit
помогите пожалуйста дам 60 балов
Приложения:
Ответы
Автор ответа:
1
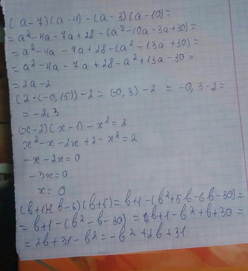
Ответ:
Надеюсь, что всё понятно))
Приложения:
Похожие вопросы
Предмет: Математика,
автор: gurinadasha9079
Предмет: География,
автор: Vitalik9487
Предмет: Немецкий язык,
автор: Danaaidarhan7125
Предмет: Физика,
автор: beta404
Предмет: Музыка,
автор: yfcnzберекета