Предмет: Алгебра,
автор: karla00112
помогите решить задачу
Приложения:
Ответы
Автор ответа:
0
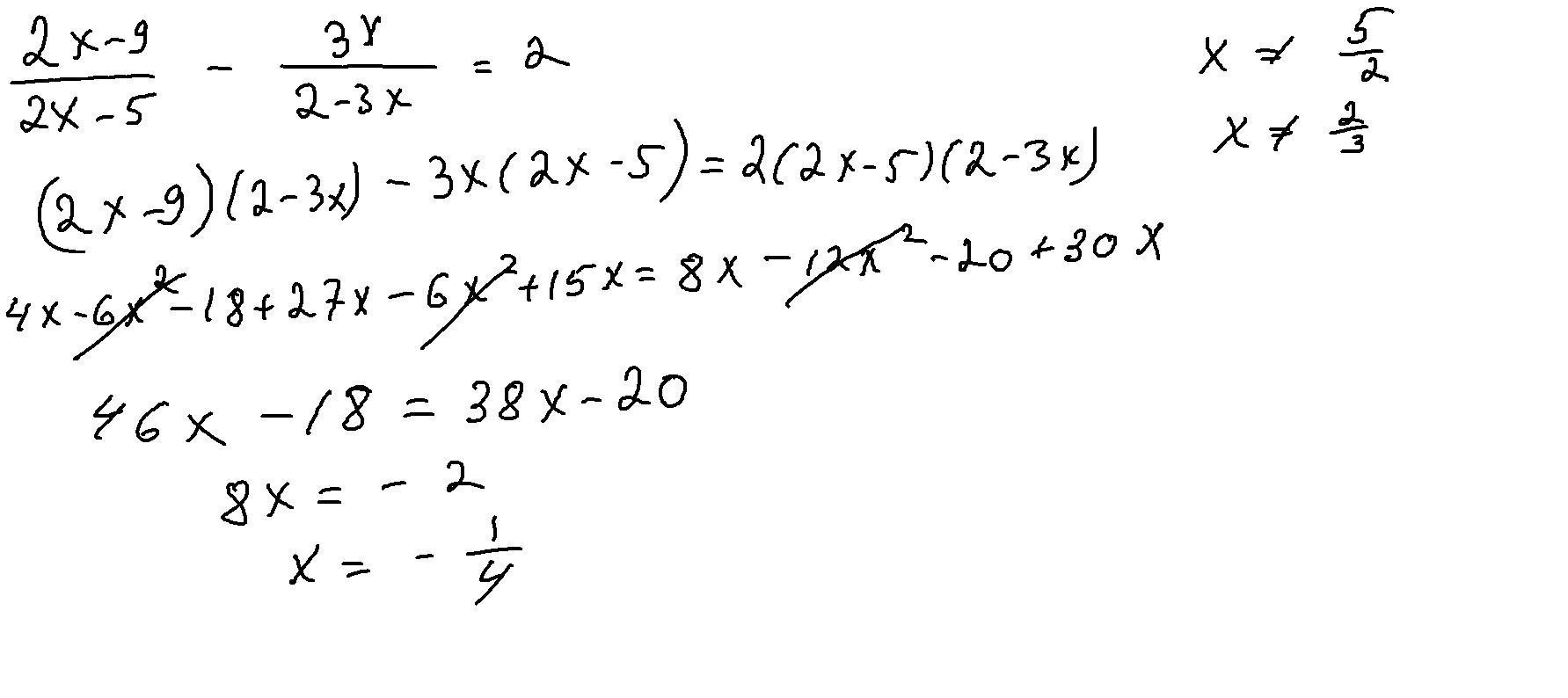
Ответ:
Х = -0,25
Объяснение:
Приложения:
Автор ответа:
0
!!!!!!!!!!!!!!!!!!!!!!!!!!!!!!!!!!!!!!!!!!!
Приложения:
Похожие вопросы
Предмет: Математика,
автор: mamanzuk1992
Предмет: Геометрия,
автор: Аноним
Предмет: Английский язык,
автор: sokol971
Предмет: Литература,
автор: Лизок55Ишкова
Предмет: Физика,
автор: seniorbogda2014