Предмет: Физика,
автор: voviklol
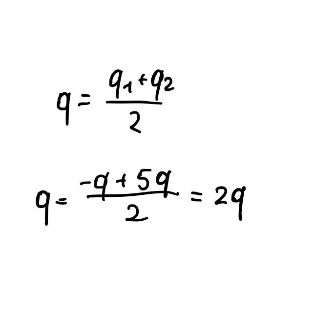
две одинаковых металлических шара имеют зарят - q и 5q приводят в соприкасновение.определить их заряд после соприкасновения срочно
Ответы
Автор ответа:
3
2q...............................
Приложения:
Похожие вопросы
Предмет: Физика,
автор: KBACIK2
Предмет: Химия,
автор: hdowhdudidjd1648
Предмет: Физика,
автор: rusikgmailcom300
Предмет: Математика,
автор: bechgramotnaya
Предмет: Математика,
автор: ДОБЕРМАН111