Предмет: Алгебра, автор: stasutyal

Решите выделенные, много баллов

Приложения:

Ответы

Автор ответа: NNNLLL54
1

1)\; \; y''-8y'+16y=0\\\\k^2-8k+16=0\; \; ,\; \; (k-4)^2=0\; \; ,\; \; k_1=k_2=4\\\\y=e^{4x}\cdot (C_1+C_2x)\\\\\\2)\; \; y''+2y'-15y=0\\\\k^2+2k-15=0\; ,\; \; k_1=-5\; ,\; k_2=3\\\\y=C_1\, e^{-5x}+C_2\, e^{3x}

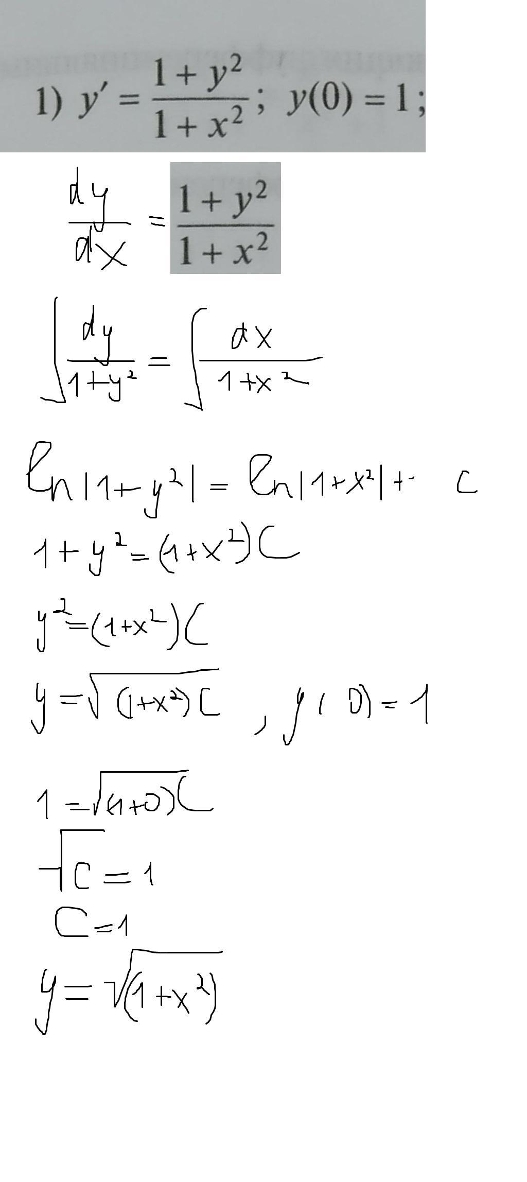
3)\; \; y'=\frac{1+y^2}{1+x^2}\; \; ,\; \; y(0)=1\\\\\int \frac{dy}{1+y^2}=\int\frac{dx}{1+x^2}\\\\arctgy=arctgx+C\\\\y(0)=1:\; \; arctg1=arctg0+C\; \; ,\; \; \frac{\pi}{4}=0+C\; ,\; \; C=\frac{\pi}{4}\\\\arctgy=arctgx+\frac{\pi}{4}

4)\; \; 2x\, dx=y^2\, dy\; \; ,\; \; y(1)=0\\\\\int 2x\, dx=\int y^2\, dy\\\\x^2=\frac{y^3}{3}+C\\\\y(1)=0:\; \; 1=0+C\; \; ,\; \; C=1\\\\x^2=\frac{y^3}{3}+1

Автор ответа: matematikL
0

Ответ:

Объяснение:

вот и все

Приложения:
Похожие вопросы