Предмет: Математика, автор: innaorexowa2014

Помогите, пожалуйста. Срочно. 10-11 класс.
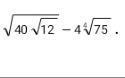
Найти значение выражения

Приложения:

Ответы

Автор ответа: Vopoxov
1

Ответ:

0

Пошаговое объяснение:

Смотрите в приложенном файле

Ну или вот:)

 \sqrt{40 \sqrt{12} }  - 4 \sqrt[4]{75}  = \\  =   \sqrt{40 \sqrt{4 \times 3} }  - 4 \sqrt[4]{25 \times 3} =  \\  =   \sqrt{40 \times2 \times  \sqrt{3}}  - 4 \sqrt[4]{25} \times  \sqrt[4]{3} =   \\  =   \sqrt{40 \times2}  \times \sqrt[4]{3} - 4 \sqrt[4]{25} \times  \sqrt[4]{3} =  \\  =  \sqrt{80} \times  \sqrt[4]{3} - 4 \sqrt[4]{5 {}^{2} }  \times  \sqrt[4]{3}=  \\  =  \sqrt{16 \times 5} \times  \sqrt[4]{3} - 4 \sqrt[4]{5 {}^{2} }  \times  \sqrt[4]{3}= \\  =   4  \sqrt{5} \times  \sqrt[4]{3} - 4 \sqrt{5 }  \times \sqrt[4]{3} =  \\  = 0

Приложения:
Похожие вопросы